SENEVEN
 
 
你现在的位置:首页在线计算

垃圾填埋场双边坡导排设计
   
  该计算器用于设计填埋场边坡的渗滤液导排系统,包括单角度和双角度边坡配置。填埋场边坡通常具有不同的坡度,例如较缓的上部边坡和较陡的下部边坡。本工具可分析各种导排材料组合(例如,上下边坡均使用土工复合排水网,或土工复合排水网与砾石组合),以确定最大渗滤液水头和各部分所需的导水率,确保有效的排水和边坡稳定性


情况1(a & b): 土工复合排水网用于上下两部分


最大渗滤液深度  
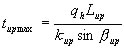
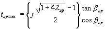
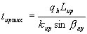
上游部分
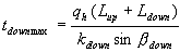
下游部分
要求的导水率  
上游部分
下游部分
最终导水率  
上游部分
下游部分



情况2:
上游部分为土工复合排水网,下游部分为砾石排水

最大渗滤液深度  
上游部分
下游部分
要求的导水率  
上游部分
下游部分
最终导水率  
上游部分
下游部分


情况3 上游部分为砾石排水,下游部分为土工复合排水网


最大渗滤液深度  
上游部分
 
 
下游部分
要求的导水率  
上游部分
下游部分
最终导水率  
上游部分
下游部分

符号含义:
符号
说明
单位
kup
上游部分液体收集材料渗透系数
m/s
kdown
下游部分液体收集材料渗透系数
m/s
Lup
上游部分液体收集层的长度
m
Ldown
下游部分液体收集层的长度
m
qh
入渗率
m/s
βup
上游部分坡度
βdown
下游部分坡度
FSd
排水安全系数
-
RFin
入渗折减系数
-
RFcr
蠕变折减系数
-
RFcc
化学淤堵折减系数
-
RFbc
生物淤堵折减系数
-


GC /GC

GC /砾石下

砾石上/GC

   

qh

m/s

m/s

m/s

   

Lup

m

m

m

   

Ldown

m

m

m

   

kup

m/s

m/s

m/s

   

kdown

m/s

m/s

m/s

   

βup

   

βdown

   

Factor

GC /GC

GC /砾石下

砾石上/GC

安全折减系数推荐值
表面水收集 渗滤液收集 渗漏检测

RFin

1.3 - 1.5
1.5 - 2.0 1.5 - 2.0

RFcr

1.2 - 1.4
1.4 - 2.0 1.4 - 2.0
RFcc

 

1.0 - 1.2
1.5 - 2.0 1.5 - 2.0
RFbc

 

 

1.2 - 1.5 1.5 - 2.0 1.5 - 2.0
FSd

 

 

2.0 - 10 2.0 - 10 2.0 - 10

注:以上安全折减系数为常规折减系数,可根据实际工程输入要求的系数。

 

SENEVEN

联系方式
电话: 021-55090311
技术咨询: 13052393399
商务咨询: 13375487000
邮箱: sevenen@seneven.com
地址: 上海市杨浦区国权北路1688弄80号603-1
Copyright © 2008-2025 SEVEVEN 沪ICP备2023009801号 沪公网安备31011002006625号